行業關注 - NMN的多種治療應用

煙酰胺單核苷酸 (NMN) 是一種核苷酸,因其作為煙酰胺腺嘌呤二核苷酸 (NAD+) 生物合成中間體的作用而廣為人知。NMN 已在臨床前研究中證明了幾種有益的藥理活性,這表明它具有潛在的治療用途。其主要通過參與 NAD+ 生物合成來介導,NMN 的藥理活性包括其在細胞生化功能、心臟保護、糖尿病、阿爾茨海默病和與肥胖相關的并發癥中的作用。

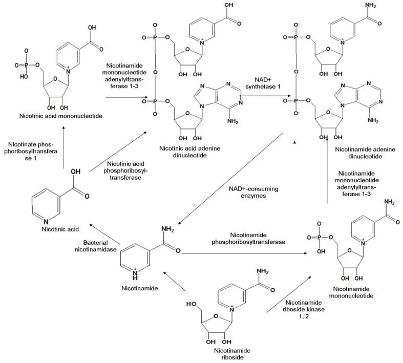
NMN 是一種生物活性核苷酸,由磷酸基團與含有核糖和煙酰胺的核苷反應自然形成。在人體細胞中,NMN 可作為細胞能量的來源。由于 NMN 是 NAD+ 生物合成的中間產物,因此首先我們需要關注 NAD+ 的生物合成,以便正確理解 NMN 的合成。
這種特殊的生物合成途徑對于闡明可以補償 NAD+ 缺陷的機制非常重要。NAD+ 在哺乳動物細胞中通過三種不同途徑合成:1) 從頭合成途徑 - 從色氨酸合成,2) 補救途徑 - 從煙酰胺或煙酸合成,或 3) NR 的轉化,其中, NMN 是后兩種途徑里的中間副產品。

▲哺乳動物細胞中煙酰胺單核苷酸的生物合成途徑。
補救途徑在哺乳動物細胞中占主導地位,生物合成后,NAD+ 很容易通過腸壁吸收。在小鼠模型的幫助下,發現 NMN 從腸道吸收進入血液循環在 2-3 分鐘內開始,并在 15 分鐘內完全吸收到組織中。然后它會立即轉化并以 NAD+ 的形式儲存在肝臟、骨骼肌和皮質等組織中。肝臟 NAD+ 含量的增加會持續約 30 分鐘。施用 NMN 六個月后,可以在肝臟和棕色脂肪組織中觀察到這種 NAD+ 濃度升高,但在骨骼肌和白色脂肪組織中則觀察不到。
在進入哺乳動物細胞之前,NMN 會經歷去磷酸化以產生 NR。具有焦磷酸酶和 5'-外核苷酸酶活性的細胞外受體 CD73 進行反應。哺乳動物細胞具有促進 NR 進入的平衡核苷轉運蛋白或 ENT。然后新形成的 NR 在哺乳動物細胞內充當外源性 NAD+ 前體(下圖),在此之后,普遍表達的 NRK1 有助于隨后將 NR 轉化為 NMN。

NMN 在哺乳動物細胞中的吸收示意圖。
NMN:煙酰胺單核苷酸;
NR:煙酰胺核苷;
NRK 1:煙酰胺核苷激酶 1;
ENT:平衡核苷轉運體。
因此 NMN 可以被認為是對 NAD+ 的轉換具有最重要意義的代謝物之一。

近幾年 NMN 已在包括心肌和腦缺血、神經退行性疾病(如阿爾茨海默病)和糖尿病在內的多種臨床前疾病模型中表現出許多有益的藥理活性。
在小鼠模型中發現其抗衰老、延長壽命的特性使 NMN 作為潛在的治療候選物更具吸引力 。它的大部分藥理作用是通過促進 NAD+ 的合成而發生的,因為直接給予高劑量的 NAD+ 有時會出現失眠、疲勞和焦慮等副作用,并且與 NMN 相比,它的質膜穿透能力較差。
01缺血-再灌注損傷
缺血再灌注會引發嚴重的組織損傷,對此,缺血預處理(IPC)是一種公認的預防策略,SIRT1的激活可以保護心臟免受缺血和再灌注(I/R)誘導的傷害,SIRT1的脫乙酰基酶活性取決于NAD +,增強NAD +可能會促進SIRT1介導的IPC,補充 NMN 可暫時恢復心臟中的 NAD+ 水平。研究人員認為NMN在缺血和再灌注條件下可保護心臟,抑制I/R后梗死周圍區域的心肌細胞凋亡,并顯著改善由I/R引起的左心室(LV)收縮功能,此外研究人員發現,用NMN治療的大鼠表現出改善的心肌功能和減小的梗塞面積。

02阿爾茨海默癥
由于目前可用的藥物干預如美金剛胺或膽堿酯酶抑制劑加蘭他敏僅旨在提供對癥治療。此外,它們會引起厭食和心動過緩等副作用,因此,NMN 可以發揮重要作用,因為它直接針對這種疾病的病因。

03糖尿病
NMN 還顯示出用作治療糖尿病的藥物的潛力。胰島素抵抗是 2 型糖尿病的特征,其發生是由于氧化應激、炎癥反應增強、脂質代謝受損——所有這些都可以通過 NAD+ 得到改善。

04肥胖及相關并發癥
NMN 可以減少與年齡相關的體重增加。研究人員與對照組相比,在 12 個月的持續時間內施用 100 和 300 mg/kg 劑量的 NMN 能夠分別將體重減輕 4% 和 9%,而不會影響生長和食欲。肥胖和糖尿病的病理學之間存在相互聯系。肥胖通過改變導致線粒體功能障礙的生化途徑對健康產生負面影響。

05老化
衰老是一種自然的人類現象,如前所述,由于胰腺、骨骼肌、肝臟、皮膚、脂肪組織和大腦等多個器官中 NAD+ 的消耗,其特征是線粒體的能量產生下調。除了線粒體功能下降外,衰老還與其他生物改變有關,如 DNA 損傷、認知障礙、sirtuin 基因失活,這些都可以通過 NAD+ 恢復。補充 NMN 可增加肝臟 NAD+ 濃度以及修復 DNA 損傷的 PARP1 活性。

NMN 可以在各種疾病狀態的治療中發揮重要作用,近年來的多次臨床試驗也證明,NMN對受試者的生命體征、睡眠質量和健康均無顯著影響,暫未發現任何副作用。
近年來,國內NMN監管不斷突破,2022年國家藥監局公示了NMN作為化妝品新原料備案通過的信息,2023年NMN作為食品添加劑新品種正式獲得受理,NMN獲得市場廣泛關注。
我們提供高品質的β-煙酰胺單核苷酸(NMN)原料,產品遠銷歐美、韓國、印度等世界各地,如果您對我們的產品感興趣,請隨時與我們聯系,我們將很樂意提供您需要的任何信息。
*特別說明 - 本文僅作資訊科普用途,不能代替醫生的治療診斷和建議,不應被視為對所涉醫療產品的推薦或功效證明。涉及疾病診斷、治療、康復相關的,請務必前往專業醫療機構就診,尋求專業意見。